Üniversite matematik sorusu nasıl çözülür?

Katılım
20 Mayıs 2018
Mesajlar
8.561
Çözümler
35
Yer
BURSA-BANDIRMA
Daha fazla  
Cinsiyet
Erkek
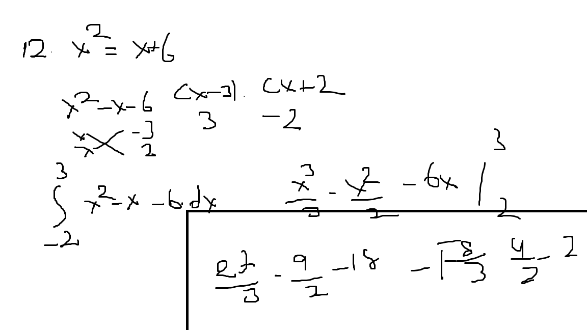
Eveet bu sefer matematik sorularıyla karşı karşıyayım.
Bu sefer erkenden gönderiyorum. El ele verelim yardım edelim şu garibe.

IMG_20220118_221606.jpg


IMG_20220118_221648.jpg


IMG_20220118_221619.jpg


Tek tek çözüp atabilirsiniz.
 
Son düzenleyen: Moderatör:

Az çok bilgin varsa bu sitelerde çözümler aşama aşama yazıldığı için anlarsın ama zaten hiçbir şey bilmiyorsan yapacak bir şey yok.

Yok biliyorum. Ama konu başlığı değişmiş maalesef. Sadece zorlandığımdan yardım istiyorum.
 

Bu konuyu görüntüleyen kullanıcılar

Technopat Haberler

Yeni konular

Geri
Yukarı